ไฟฟ้ากระแส เป็นอีกหนึ่งหัวข้อที่น้อง ๆ หลายคนอาจจะยังไม่เข้าใจ ซึ่งพี่ก็ได้สรุปเนื้อหาสำคัญมาให้ในบทความนี้แล้ว ไม่ว่าจะเป็นไฟฟ้ากระแส คืออะไร, ความสัมพันธ์ระหว่างกระแสไฟฟ้ากับความต่างศักย์, พลังงานในวงจรไฟฟ้า
กระแสตรง รวมถึงหัวข้ออื่น ๆ ตัวอย่างโจทย์ ข้อสอบ และเฉลยให้ด้วย ถ้าพร้อมแล้ว ไปดูกันเลยย !
สนใจหัวข้อไหน ... กดอ่านเลย
Toggleไฟฟ้ากระแส คืออะไร ?
ไฟฟ้ากระแส คือ การไหลของประจุไฟฟ้า ผ่านตัวนำไฟฟ้าอย่างต่อเนื่อง โดยมีแรงขับเคลื่อนจากความต่างศักย์ระหว่างสองจุด
กระแสไฟฟ้าในตัวนำ
กระแสไฟฟ้าเกิดจากการมีประจุไฟฟ้าลัพธ์เคลื่อนที่ผ่านตำแหน่งใดตำแหน่งหนึ่งในช่วงเวลาหนึ่ง จึงได้มีการกำหนดว่า กระแสไฟฟ้าในตัวนำใด ๆ คือ ปริมาณประจุไฟฟ้าที่เคลื่อนที่ผ่านพื้นที่หน้าตัดของตัวนำนั้นในหนึ่งหน่วยเวลา
ตัวอย่างโจทย์กระแสไฟฟ้าในตัวนำ
ในหลอดทดลองที่มีสารละลายอิเล็กโทรไลต์ มีประจุบวกจำนวน 300 \text{ C} เคลื่อนที่ไปทางขวา และมีประจุลบจำนวน -500\text{ C} เคลื่อนที่ไปทางซ้าย ผ่านพื้นที่หน้าตัดหนึ่งภายในเวลา 4 วินาที จงหาขนาดของกระแสไฟฟ้าที่เกิดขึ้นในหลอดทดลองนี้
วิธีทำ
หาขนาดของกระแสไฟฟ้าที่เกิดขึ้นในหลอดทดลองนี้

ตอบ ขนาดของกระแสไฟฟ้าที่เกิดขึ้นในหลอดทดลองนี้มีค่าเท่ากับ 200 แอมแปร์
กระแสไฟฟ้าในลวดตัวนำ
ในตัวนำที่เป็นโลหะ อิเล็กตรอนบางส่วนไม่ได้ถูกยึดติดกับอะตอมใดอะตอมหนึ่ง แต่จะเคลื่อนที่ได้อย่างอิสระ เรียกว่า อิเล็กตรอนอิสระ ซึ่งมีการเคลื่อนที่ 2 ลักษณะ คือ ในกรณีเมื่อลวดตัวนำไม่มีสนามไฟฟ้าและมีสนามไฟฟ้า
ตัวอย่างโจทย์กระแสไฟฟ้าในลวดตัวนำ
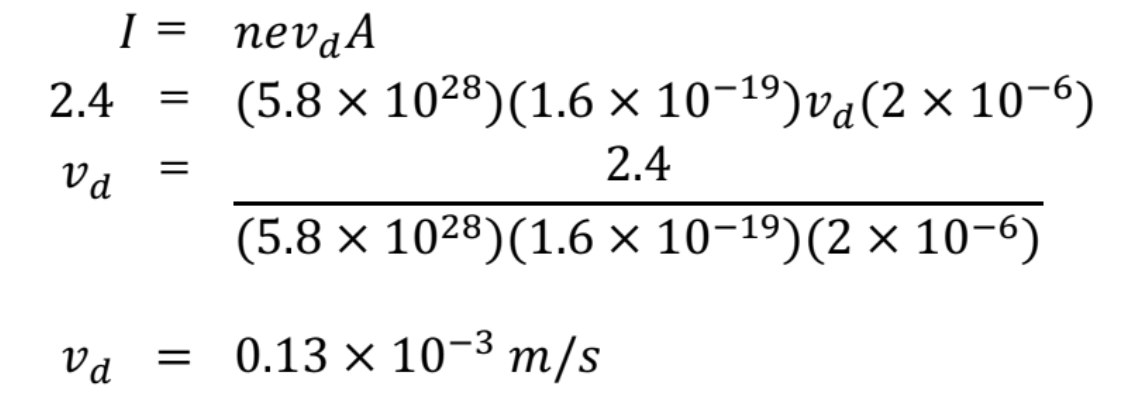
ลวดเงินเส้นหนึ่งมีพื้นที่หน้าตัด 2.0 ตารางมิลลิเมตร มีกระแสไฟฟ้าไหลผ่าน 2.4 แอมแปร์ จงหาขนาดของ
ความเร็วลอยเลื่อนของอิเล็กตรอนอิสระในลวดเงินนี้
กำหนดให้
ความหนาแน่นของอิเล็กตรอนอิสระในเงิน n=\ 5.8\times{10}^{28} ต่อลูกบาศก์เมตร
ประจุของอิเล็กตรอน e=\ 1.6\times{10}^{-19}\text{ C}
หาขนาดของความเร็วลอยเลื่อน

ตอบ ขนาดของความเร็วเลื่อนมีค่าเท่ากับ 0.13\times{10}^{-3} เมตรต่อวินาที
ความสัมพันธ์ระหว่างกระแสไฟฟ้ากับความต่างศักย์
กฎของโอห์ม
ถ้าอุณหภูมิของลวดตัวนำคงตัว กระแสไฟฟ้าที่ผ่านตัวนำจะแปรผันตรงกับความต่างศักย์ระหว่างปลายทั้งสองของลวดตัวนำนั้น ซึ่งเป็นไปตาม กฎของโอห์ม (Ohm’s Law)
ตัวอย่างโจทย์กฎของโอห์ม
เตารีดไฟฟ้าเครื่องหนึ่งมีความต้านทาน 44\text{ }\Omega ต่อเข้ากับปลั๊กไฟในบ้านซึ่งมีแรงดัน 220\text{ V} จะมีกระแสไฟฟ้าไหลผ่านเตารีดกี่แอมแปร์
วิธีทำ
หากระแสไฟฟ้าไหลผ่านเตารีด

ตอบ กระแสไฟฟ้าไหลผ่านเตารีด 5 แอมแปร์
สภาพต้านทานไฟฟ้าและสภาพนำไฟฟ้า
จากการศึกษาหาความสัมพันธ์ของความต่างศักย์ไฟฟ้า (\Delta{V})และกระแสไฟฟ้า (I) เพื่อหาความต้านทานของลวดโลหะตามกฎของโอห์ม ทำให้ทราบว่า
- ความต้านทาน (R) แปรผันตรง ความยาวของลวดโลหะ (l) เมื่อพื้นที่หน้าตัด (A) คงที่
- ความต้านทาน (R) แปรผันผกผัน พื้นที่หน้าตัด (A) เมื่อความยาวของลวดโลหะ (l) คงที่
ตัวอย่างโจทย์สภาพต้านทานไฟฟ้าและสภาพนำไฟฟ้า
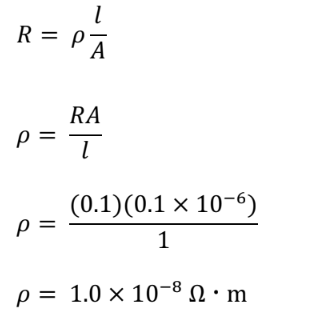
ลวดโลหะเส้นหนึ่งยาว 1.00 เมตร มีพื้นที่หน้าตัด 0.10 ตารางมิลลิเมตร และความต้านทาน 0.10 โอห์ม
ลวดเส้นนี้มีสภาพต้านทานเท่าใด
วิธีทำ
หาสภาพความต้านทาน

ตอบ ลวดโลหะเส้นนี้มีสภาพต้านทาน 1.0\times{10}^{-8} โอห์มเมตร
การต่อตัวต้านทาน
การต่อตัวต้านทาน คือ การเชื่อมตัวต้านทานตั้งแต่สองตัวขึ้นไปเข้าด้วยกันในวงจรไฟฟ้าระหว่างจุดร่วมสองจุด
ซึ่งวิธีการต่อตัวต้านทานจะมี 2 แบบ คือ การต่อแบบอนุกรมและการต่อแบบขนาน
ตัวอย่างโจทย์การต่อตัวต้านทาน
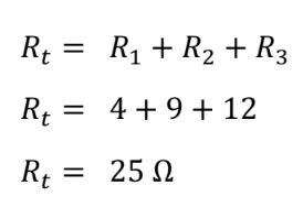
ตัวต้านทานสามตัวมีความต้านทาน 4 โอห์ม 9 โอห์ม และ 12 โอห์ม เมื่อนำตัวต้านทานทั้งสามตัวมาต่อกันแบบอนุกรม จะมีความต้านทานสมมูลเท่าไร

วิธีทำ
หาความต้านทานสมมูล
ตอบ ความต้านทานสมมูลมีค่าเท่ากับ 25 โอห์ม
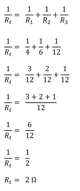
ตัวต้านทานสามตัวมีความต้านทาน 4 โอห์ม 6 โอห์ม และ 12 โอห์ม เมื่อนำตัวต้านทานทั้งสามตัวมาต่อกันแบบขนาน
จะมีความต้านทานสมมูลเท่าไร

วิธีทำ
หาความต้านทานสมมูล

ตอบ ความต้านทานสมมูลมีค่าเท่ากับ 2 โอห์ม
พลังงานในวงจรไฟฟ้ากระแสตรง
พลังงานไฟฟ้าและความต่างศักย์
แรงเคลื่อนไฟฟ้า หรือ อีเอ็มเอฟ (emf) คือ พลังงานที่แหล่งกำเนิดไฟฟ้า (เช่น แบตเตอรี่) ให้แก่ประจุไฟฟ้าต่อหน่วยประจุไฟฟ้า เพื่อใช้ในการเคลื่อนที่จากขั้วลบไปยังขั้วบวกภายในแหล่งกำเนิดนั้น
ความต่างศักย์ คือ พลังงานไฟฟ้าที่ประจุไฟฟ้าถ่ายโอนให้กับส่วนประกอบต่าง ๆ ในวงจร (เช่น ตัวต้านทาน
หรือเครื่องใช้ไฟฟ้า) ต่อหนึ่งหน่วยประจุ
ตัวอย่างโจทย์พลังงานไฟฟ้าและความต่างศักย์
แบตเตอรี่อีเอ็มเอฟ 12 โวลต์ มีความต้านทานภายใน 0.5 โอห์ม ต่ออยู่กับตัวต้านทานที่ความต้านทาน 3.5 โอห์ม
จงหากระแสไฟฟ้ารวมในวงจร
วิธีทำ
หากระแสไฟฟ้ารวมในวงจร
ตอบ กระแสไฟฟ้ารวมในวงจรเท่ากับ 3 แอมแปร์
พลังงานไฟฟ้าและกำลังไฟฟ้าของเครื่องใช้ไฟฟ้ากระแสตรง
กำลังไฟฟ้า คือ งานที่ประจุไฟฟ้าทำได้ในหนึ่งหน่วยเวลา หรือ พลังงานไฟฟ้าของประจุไฟฟ้าที่ถ่ายโอนไปยังส่วนต่าง ๆ ของวงจรในหนึ่งหน่วยเวลา
ตัวอย่างโจทย์พลังงานไฟฟ้าและกำลังไฟฟ้าของเครื่องใช้ไฟฟ้ากระแสตรง
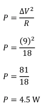
พัดลมพกพาขนาดเล็กใช้แรงดันไฟฟ้า 9\text{ V} มีค่าความต้านทานภายในวงจร 18\text{ }\Omega พัดลมตัวนี้จะใช้กำลังไฟฟ้าเท่าใด
วิธีทำ
หากำลังไฟฟ้า

ตอบ พัดลมตัวนี้จะใช้กำลังไฟฟ้า 4.5 วัตต์
แบตเตอรี่และวงจรไฟฟ้ากระแสตรงเบื้องต้น
การต่อแบตเตอรี่
การนำแบตเตอรี่หลายก้อนมาต่อกันสามารถทำได้ 2 รูปแบบคือ แบบอนุกรมและแบบขนาน
ตัวอย่างโจทย์การต่อแบตเตอรี่
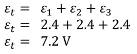
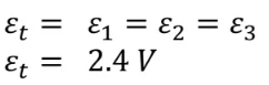
นำแบตเตอรี่ขนาด 2.4 โวลต์ ความต้านทานภายใน 0.2 โอห์ม จำนวน 3 ก้อนมาต่อแบบอนุกรมเพื่อเป็นแหล่งกำเนิดไฟฟ้าให้กับเครื่องใช้ไฟฟ้า จงหาอีเอ็มเอฟสมมูลและความต้านทานภายในสมมูลของแบตเตอรี่ที่ต่อแบบอนุกรม
และแบบขนาน
วิธีทำ
หาอีเอ็มเอฟสมมูลที่ต่อแบบอนุกรม
หาความต้านทานภายในสมมูลที่ต่อแบบอนุกรม
ตอบ อีเอ็มเอฟสมมูลที่ต่อแบบอนุกรมมีค่าเท่ากับ 7.2 โวลต์ และความต้านทานภายในสมมูลที่ต่อแบบอนุกรมมีค่าเท่ากับ 0.6 โอห์ม
หาอีเอ็มเอฟสมมูลที่ต่อแบบขนาน
หาความต้านทานภายในสมมูลที่ต่อแบบขนาน
ตอบ อีเอ็มเอฟสมมูลที่ต่อแบบขนานมีค่าเท่ากับ 2.4 โวลต์ และความต้านทานภายในสมมูลที่ต่อแบบขนานมีค่าเท่ากับ 0.067 โอห์ม
การวิเคราะห์วงจรไฟฟ้ากระแสตรง
ตัวอย่างโจทย์การวิเคราะห์วงจรไฟฟ้ากระแสตรง
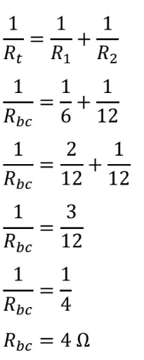
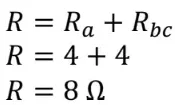
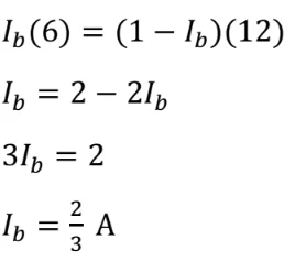
จงหากระแสไฟฟ้าที่ผ่านตัวต้านทาน R_b ดังรูป

วิธีทำ
หา R_{bc} 
หาความต้านทานภายนอกสมมูล

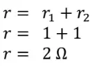
หาอีเอ็มเอฟสมมูล
หาความต้านทานภายในสมมูล
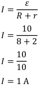
หากระแสไฟฟ้ารวมในวงจร
หากระแสไฟฟ้าที่ไหลผ่าน R_b
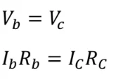
เนื่องจาก ความต่างศักย์ที่ตกคร่อมระหว่างปลายความต้านทาน R_b และ R_C มีค่าเท่ากัน จะได้ว่า
เนื่องจาก I=I_b+I_C=1
ตอบ กระแสไฟฟ้าที่ผ่านตัวต้านทาน R_b มีค่าเท่ากับ \frac{2}{3} แอมแปร์
สูตรไฟฟ้ากระแส
ติว A-Level ฟิสิกส์กับ SmartMathPro
สำหรับสนามสอบ A-Level ก็จะเป็นอีกสนามที่มีความสำคัญมากเพราะสามารถใช้ยื่นคะแนนได้หลายคณะและเป็นวิชาที่ต้องอาศัยการเตรียมตัวค่อนข้างนาน สำหรับใครที่กลัวเตรียมตัวไม่ทันอยากจะประหยัดเวลาในการเตรียมสอบ
พี่ขอแนะนำตัวช่วยอย่าง คอร์สเตรียมสอบมหาลัยฯ ของ SmartMathPro เลยย มีให้เลือกมากมายทั้งสนาม TGAT / TPAT หรือ A-Level และสอนโดยติวเตอร์ที่มีความเชี่ยวชาญในแต่ละวิชาด้วย
โดยในแต่ละคอร์สจะสอนปูพื้นฐานแบบละเอียด อิงตาม Test Blueprint ปีล่าสุด (ใครที่พื้นฐานไม่แน่นก็สามารถเรียนได้) พร้อมพาตะลุยโจทย์แบบไต่ระดับ ตั้งแต่โจทย์ซ้อมมือไปจนถึงข้อสอบเก่าหรือโจทย์ที่ใกล้เคียงกับข้อสอบจริง แถมยังแจกเทคนิคในการทำข้อสอบที่จะช่วยให้น้อง ๆ ทำข้อสอบได้เร็วขึ้นและช่วยเพิ่มโอกาสในการอัปคะแนนให้อีกด้วย สำหรับน้อง ๆ คนไหนที่สมัครตอนนี้ รับฟรี Unseen Mock Test ชุดพิเศษ และสิทธิพิเศษต่าง ๆ ประจำเดือน ถ้าใครสนใจ คลิก เข้ามาดูรายละเอียดแต่ละคอร์สได้เลยยย
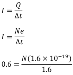
ข้อสอบไฟฟ้ากระแส พร้อมเฉลย
ตอบ 2. 6.0\times{10}^{18}
วิธีทำ
หาความต้านทานภายนอกรวมทั้งวงจร
ความต้านทานของลวดโลหะ 1 เส้น =0.5\times0.5=0.25\text{ }\Omega
จึงได้ว่า

หากระแสไฟฟ้าไหลในวงจร
หาจำนวนอิเล็กตรอน

N=6\times{10}^{18} ตัว
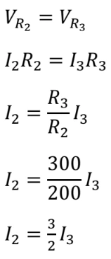
ตอบ 3. P_1>P_2>P_3
วิธีทำ
หากระแสไฟฟ้าที่ผ่านตัวต้านทานแต่ละตัว
กำหนดให้กระแสที่เข้าวงจรคือ I
จะได้ว่ากระแสไฟฟ้าที่ผ่านตัวต้านทาน R_1 คือ I
สำหรับตัวต้านทาน R_2 และ R_3 กระแสที่ไหลผ่านจะมีค่า ดังนี้ 
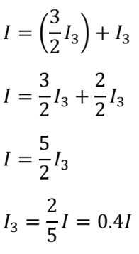
เนื่องจาก I=I_2+I_3 จะได้ว่า 
จาก I_2={\frac{3}{2}I}_3 จะได้ว่า

หากำลังไฟฟ้าแต่ละตัว
จึงได้ว่า P_1>P_2>P_3
เป็นอย่างไรกันบ้างกับสรุปเนื้อหาไฟฟ้ากระแส และข้อสอบพร้อมเฉลยที่พี่เอามาฝาก หวังว่าจะช่วยให้น้อง ๆ ที่กำลังเตรียมตัวสอบทุกคนแม่นในเนื้อหาเรื่องนี้มากขึ้นน้าา
ข้อสอบฟิสิกส์พร้อมเฉลย
ทีมวิชาการฟิสิกส์
ผู้อยู่เบื้องหลังการจัดทำคอร์สเรียนร่วมกับพี่ติวเตอร์
และผู้เขียนบทความวิชาการฟิสิกส์ของสถาบัน SmartMathPro
ทีมวิชาการฟิสิกส์
ผู้อยู่เบื้องหลังการจัดทำคอร์สเรียนร่วมกับพี่ติวเตอร์
และผู้เขียนบทความวิชาการฟิสิกส์ของสถาบัน SmartMathPro
สำหรับน้อง ๆ ที่สนใจสอบถามข้อมูลเพิ่มเติม รวมถึงติดตามข่าวสารต่าง ๆ ที่อัปเดตอย่างเรียลไทม์ ได้ที่
Line : @smartmathpronews
FB : Pan SmartMathPro ติวคณิต By พี่ปั้น
IG : pan_smartmathpro
X : @PanSmartMathPro
Tiktok : @pan_smartmathpro
Lemon8 : @pan_smartmathpro





